GALEAS™ Hereditary Plus

A clinically validated NGS panel with optimized bioinformatics for analyzing germline mutations associated with hereditary cancers – including Lynch syndrome.

Complete hereditary cancer analysis at your fingertips. Streamline your testing from sample to data analysis.

Between 5 and 10% of all cancers1, including those of the breast, ovary, uterus, prostate, and gastrointestinal system can be accounted for by hereditary cancers.

Genetic testing plays a crucial role in identifying individuals who have inherited variants within cancer susceptibility genes and are at increased risk of developing hereditary cancer. This information is invaluable for guiding screening, personalized treatment and preventive strategies aimed at improving the survival and outcomes for individuals.

Multi-gene next generation sequencing (NGS) panels have emerged as a widely accepted and clinically viable option for the diagnosis of hereditable cancers. However, many targeted NGS panels struggle to identify key hereditary cancer CNVs and require additional multiplex ligation dependant probe amplification (MLPA) analysis to detect them limiting their usefulness in testing.
With its complete scope, including the detection of single nucleotide variants (SNVs), insertions and deletions (indels) and a wide range of copy number variants (CNVs), GALEAS HereditaryPlus combines an innovative NGS panel with optimized bioinformatics to offer a viable option for reducing costly and time consuming MLPA and ensure unparalleled precision in hereditary cancer testing.

GALEAS™ Hereditary Plus

Cancer type

Recommended genes for screening included in GALEAS HereditaryPlus

Breast ATM, BARD1, BRCA1, BRCA2, CDH1, CHEK2, NBN, NF1, PALB2, PTEN, STK11, TP53
Colon APC, AXIN2, BMPR1A, CHEK2, EPCAM, GREM1, MLH1, MSH2, MSH6, PMS2, MSH3, MUTYH, NTLH1, POLD1, POLE, PTEN, RNF43, SMAD4, STK11, TP53
Renal BAP1, FH, FLCN, MET, SDHB, VHL
Ovarian ATM, BARD1, BRCA1, BRCA2, CDH1, CHEK2, NBN, NF1, PALB2, PTEN, SKT11, TP53, RAD51C, RAD51D
Prostate ATM, BRCA1, BRCA2, CHEK2, MLH1, MSH2, MSH6, PALB2
Gastric/GIST CDH1, KIT, PDGFRA, SDHC, SDHD, SDHA
Brain APC, ATM, MLH1, MSH2, MSH6, PMS2, TP53
Sarcoma EXT1, EXT2, MTAP, NF1, RECQL4, SQSTM1, TP53
Pediatric (Wilms Tumor) CDKN1C, CTR9, REST, TRIM28, WT1
GALEAS HereditaryPlus is an innovative Next Generation Sequencing (NGS) panel that includes a meticulously curated collection of 146 genes well-established in their associations with hereditary cancer. The targeted gene list addresses not only key cancer syndromes like Lynch syndrome but also covers rarer hereditary cancer types like Phaeochromocytoma and pediatric cancers like Wilms tumor, ensuring a comprehensive understanding of the genetic landscape. The ability to target many types of cancer in one assay enables laboratories to streamline hereditary testing workflows.

GALEAS HereditaryPlus offers unparalleled variant detection in hereditary cancer analysis

The combination of careful design and state of the art bioinformatics pipelines supports the accurate detection of SNVs, indels and a wide range of CNVs without the need for additional testing with Sanger sequencing or Multiplex Ligation-dependent Probe Amplification (MLPA) analysis. This innovative NGS panel provides unparalleled precision in hereditary cancer analysis regardless of variant type or cancer type.
  • SNVs: Delivers reliable identification of SNVs including direct genotyping of the MSH2 c.942+3A>T variant avoiding the need for Sanger sequencing and streamlining testing workflows.

  • INDELs: Accurately detects both small and large indels, including those exceeding 10 base pairs.

  • CNVs: Reliably and robustly identifies CNVs from single exons to whole genes and mosaic copy number variation potentially eliminating the need for MLPA in hereditary cancer testing.

With GALEAS HereditaryPlus, laboratories can trust in exceptional accuracy and reliability of variant detection across a wide range of alteration types. Our commitment to innovation and precision empowers clinicians to make informed decisions and provide personalized care to individuals at risk of hereditary cancer.

ID

Gene

HGVS coding

HGVS protein

Genomic position

22 BRCA1 c.1175_1214del p.Leu392fs*5 chr17:43094317
23 BRCA1 c.1175_1214del p.Leu392fs*5 chr17:43094317
64 MSH2 c.942+3A>T p.? chr2:47414421
65 PMS2 c.736_741delinsTGTGTGTGAAG p.(Pro246Cysfs*3) chr7:5997389
66 MLH1 c.1946dupC p.(Leu650Phefs*14) chr3:37048561
67 MSH2 c.1213_1217dup p.(Leu407Thrfs*7) chr2:47429877
68 MSH6 c.3562_3563del p.(Ser1188Tyrfs*5) chr2:47805623

Table 2. SNV recall was shown to be 100% across a wide range of alteration types including small and large indels

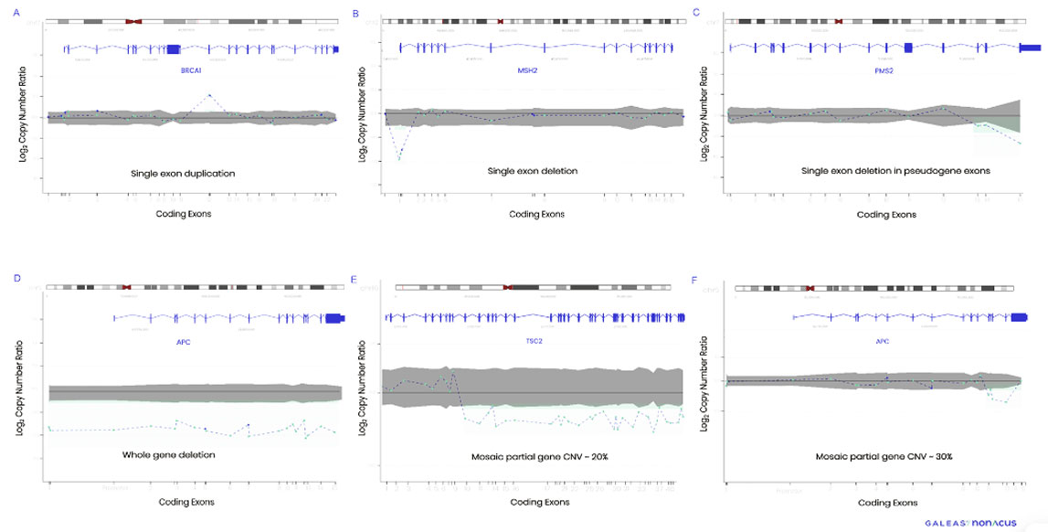
Overcoming Challenges: CNVs, mosaics and pseudogenes

While many NGS panels excel at detecting SNVs and small indels, accurately identifying CNVs associated with hereditary cancer presents a significant challenge and often requires the use of ancillary tests like MLPA to detect them reliably.

GALEAS HereditaryPlus combines an expertly constructed CNV probe design with optimized bioinformatics pipelines to enable laboratories to

  • Detect a wide range of CNVs from single exon to whole gene

  • Detect mosaic copy number variants in key genes such as APC and TSC2

  • Confidently call PMS2 gene variants.

In a clinical study of 64 patients with orthogonal data, GALEAS HereditaryPlus delivered an analytical sensitivity of 98.3% and an analytical specificity of 99% for CNV analysis. This high level of sensitivity and specificity guarantees the identification of critical genetic alterations associated with hereditary cancer, empowering clinicians with actionable information for disease management.

 

Figure 1. CNV profiles detected by GALEAS HereditaryPlus. A) BRCA1 single exon duplication, B) MSH2 single exon deletion, C) PMS2 multiple exon deletion in pseudogene D) APC whole gene deletion, E) TSC2 mosaic partial gene CNV -20%, F) APC mosaic partial gene CNV- 30%.

GALEAS HereditaryPlus eliminates the need for time-consuming and costly supplementary tests providing laboratories with a consolidated and efficient testing workflow for hereditary cancer.

Cloud-based GALEAS Analysis software delivers a comprehensive variant calling pipeline.

Cutting-edge bioinformatics pipelines are included with GALEAS HereditaryPlus. Our cloud-based software solution has been specifically tailored to work seamlessly with our NGS panel and optimized for secondary calling and comes with an in-built panel of normals to deliver optimum sensitivity for CNV calling. All of this guarantees a robust and accurate analysis of germline variants critical to ensuring reliable downstream interpretation analysis and providing clinicians with reliable data to help them make informed decisions regarding personalized care and treatment strategies.

Features of GALEAS HereditaryPlus:

 
  • 146 genes with known associations to hereditary cancers
  • Coverage of all key cancer syndromes and pediatric cancer genes
  • Full coverage of the UK National Genomics Test Directory and compliant with ESMO and AMP guidelines
  • 100% recall for SNVs and indels in clinical samples
  • Enhanced CNV calling capabilities of key cancer susceptibility loci from single exon to whole gene alterations
  • Cloud-based variant calling pipelines to ensure accurate calling and reliable downstream interpretation
  • In-built panel of normals for optimum sensitivity in CNV calling
  • Identity tracking with 24 carefully selected SNPs
  • Seamless integration with decision support software

Why choose GALEAS HereditaryPlus?

 

Avoid unnecessary ancillary testing like MLPA or Sanger sequencing

Confidently call all variants including MSH2 c.942+3A>T variant a wide range of CNVs in genes such as APC, MHS2, BRCA1 and PMS2 with one NGS based workflow.

 

Validate and run a single workflow for all hereditary cancers.

Consolidate workflows for all hereditary cancers including breast, prostate, Lynch syndrome and Wilms tumor, reducing operational time and cost.

 

Streamline bioinformatics with GALEAS Analysis Software

Optimized for the GALEAS HereditaryPlus panel, our cloud-based bioinformatics pipelines deliver the accurate variant calling critical for reliable downstream interpretation.

Key quality indicator

GALEAS HereditaryPlus

Company I

Number of Genes 146 113
Capture Panel size (kb) 809 403
MB required for mean 100x coverage 130 MB 116.6 MB
Percentage coverage >30x 99% 96%
Percentage on bait 71.2% 37.0%
Percentage on or near bait 81% 61.51%
Percent duplication 2.0% 8.99%
SNV recall 99.7% 98.1%
Indel Recall 100% 97.2%

The GALEAS HereditaryPlus workflow is simple and easy.

Taking less than 10 hours, with less than 2 hours hands-on time, it is designed with multiple stop points to provide flexibility within laboratory processing. Library preparation can be run manually or automated up to 96 samples in a single run. Indexes are available for up to 384 samples to allow for flexible batch sizes and scalability across all Illumina benchtop sequencers.

gDNA samples

Wide range of sample types

Prepare samples

BeadXtract DNA extraction kits

Prepare libraries and enrich

GALEAS HereditaryPlus

Sequence

Illumina NGS Sequencing System

Call variants

GALEAS Analysis software

Interpret and report

Secondary software for interpretation and reporting

GALEAS HereditaryPlus Protocol [PDF]

 

Download

GALEAS HereditaryPlus Datasheet [PDF]

Download

GALEAS HereditaryPlus Poster [PDF]

Download

Parameters

Specification

Enrichment method Hybridization and capture
Number of genes 146
Capture Panel size 809 kb
Sequencing platform Illumina
Targets Genes associated with hereditary cancer
Variant types SNVs, CNVs and INDELs
Input DNA requirements* 10ng-200ng
Sample type gDNA from blood or saliva
Multiplexing guidance for sequencing 500K reads per sample required to achieve 100x. This equates to 0.15Gb per sample

Product Description

Pack Size

Catalogue Number

GALEAS HereditaryPlus 16 samples NGS_GAL_HCP_FR_16
(with enzymatic fragmentation for gDNA) 96 samples NGS_GAL_HCP_FR_96_A/B/C/D*

Get in Touch

For any queries or detailed requirements, get in touch with our team of experts at Shiva Scientific.